射频电路设计阻抗为什么是50欧姆?
50欧姆对射频人来说,是一个最最最常见的阻抗。司空见惯,以至于见怪不怪。为什么是50欧姆?30欧姆行不行?100欧姆呢?谁定了这个标准?
今天天华中威科技小编就同大家来聊一聊 50欧姆 的来龙去脉。
做了十多年的射频设计,终于发现,射频电路设计就是一个纠结的过程。对于我这种选择困难综合征的人来说更是如此。这种设计性能更好,那种设计体积更小,另一种设计成本更低。有没有又好又小又便宜的设计呢?我觉得应该有,所以每次都在寻找最佳方案。这种不断纠结的过程可以说贯穿整个项目的研发周期。
50欧姆也是一个纠结来纠结去的折中。这个折中来自于哪里呢?我们一起看一下。
射频电路设计一个永恒的话题就是功率和功耗。如何传输最大的功率?如何把功耗降到最小?无耗只存在于理想中,有耗才是现实。50欧姆就是在最大功率和最低损耗的平衡中得到的一个值。
拿我们最常用的同轴电缆做个例子。看一下50欧姆是什么样的一个阻抗值?

上图是同轴线的示意图,有内导体和外导体组成,因为内导体和外导体共轴,所以称作同轴线。同轴线传输的主要模式是TEM模,高次模除了TEM模的倍频,还有空腔导致的TE、TM模。我们所用到的同轴线都是在TEM模式下工作的,其场分布如下图所示:电场从内导体外表面到外导体内表面,磁场环绕内导体,在长度方向上周期分布。

稳定的工作模式,超级宽的工作带宽,超级低的传输损耗,同轴线在发明之初就得到了广大射频工程师的喜爱。比它的老前辈双线不知好了多少倍。所以在1930年开始,射频工程师们就开始寻找一种最佳的同轴线缆——最高的功率和电压传输,最低的损耗。可是研究越深入,工程师们愈发现,这种最好似乎不可能实现。为什么呢?
首先,最大的功率容量对应的阻抗是30欧姆,而最大的电压对应的阻抗是60欧姆。这两者就差了很多大。如下图所示

更为重要的是,最小损耗对应的特征阻抗更高,是77欧姆。

这三者相差甚远。不信的话,你阻抗匹配试试,看看回波变化有多大?这和50欧姆也没什么关系啊。折中就在这里啦。工程师喜欢平均,最大功率阻抗和最低损耗阻抗的算术平均是53.5欧姆,是不是接近50啦? 还有一个几何平均是48欧姆。就是说,48欧姆到53欧姆这个阻抗范围,射频工程师都是可以接受的,不会影响太多的功率容量和信号损失。因此呢,50欧姆这个值就诞生了。慢慢成为了射频设计的一个标准值。
这就是50欧姆的由来。当然在一些特定场合,75欧姆和30欧姆也会用到的。
定这个阻抗标准有什么好处呢?
除了上文所说到的功率和损耗的折中,更重要的是,50欧姆是射频器件的一个端口标准。一个射频系统由很多个射频模块组成,而我们在设计单个射频模块时,只要把端口设置成50欧姆,这样系统集成的时候,端口就很容易实现匹配,不至于驴头不对马嘴,单个模块天下无敌,合到一起烂到掉渣。
当然这也只是理想情况,实际电路设计中我们很难做到完全50欧姆。比如我们端口回波损耗有时候只能做到10dB。但是记住,这个10dB的回波,只是针对端口阻抗50欧姆来说的,换个阻抗,性能变化很大。这个50欧姆端口阻抗就是我们测试线口的阻抗,所以测试前,要进行校准,确保测试线口是50欧姆。
对于同轴线,有几个重要的参数公式需要牢记。
1,阻抗公式

其中,b是外导体半径,a是内导体半径。
对于空气同轴线,50欧姆对应的内外导体半径比是2.302. 这个值建议牢记心中,因为会经常用到。而75欧姆对应的内外导体半径比是3.5. 这个在滤波器设计中比较常用。
外导体越粗,阻抗越高,内导体越粗,阻抗越小。这个在糖葫芦低通里面特别明显,如下图所示,它的高低阻抗就是靠改变内导体的粗细来实现的。

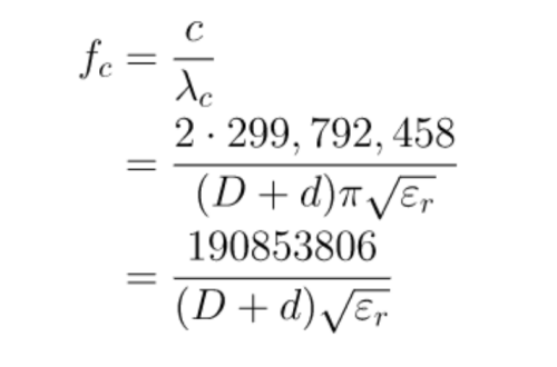
2,截止频率公式

这个截止频率就是同轴线中工作的最低高次模频率。我们上文说过了,同轴线可以在很宽的频带内只传输TEM模,第一个高次模 TE11模的截止频率和内外半径成反比,如上文公式。对于一个特征阻抗为50欧姆的同轴传输线,D和d的关系就定下来了。很直观的可以看出来,同轴线的直径越大,截止频率越低。填充的介质介电常数越高,截止频率越低。这个在线缆、接头选择上尤为重要。通常线缆和接头的截止频率要低于这个理想的截止频率,通常为90%左右。
下图给出了常用射频接头和线缆的工作频率。

参考阅读资料
https://www.arworld.us/resources/Guide-to-RF-Coaxial-Connectors-and-Cables.asp
https://www.translatorscafe.com/unit-converter/uz-Latn-UZ/calculator/coaxial-cable/
https://www.rfcafe.com/references/electrical/coax.htm
https://www.microwaves101.com/encyclopedias/coax-loss-calculations
https://resources.altium.com/p/mysterious-50-ohm-impedance-where-it-came-and-why-we-use-it
https://www.allaboutcircuits.com/textbook/radio-frequency-analysis-design/real-life-rf-signals/the-50-question-impedance-matching-in-rf-design/










关注微博
关注微信
关注公众号
关注抖音号